Před 5 měsíci
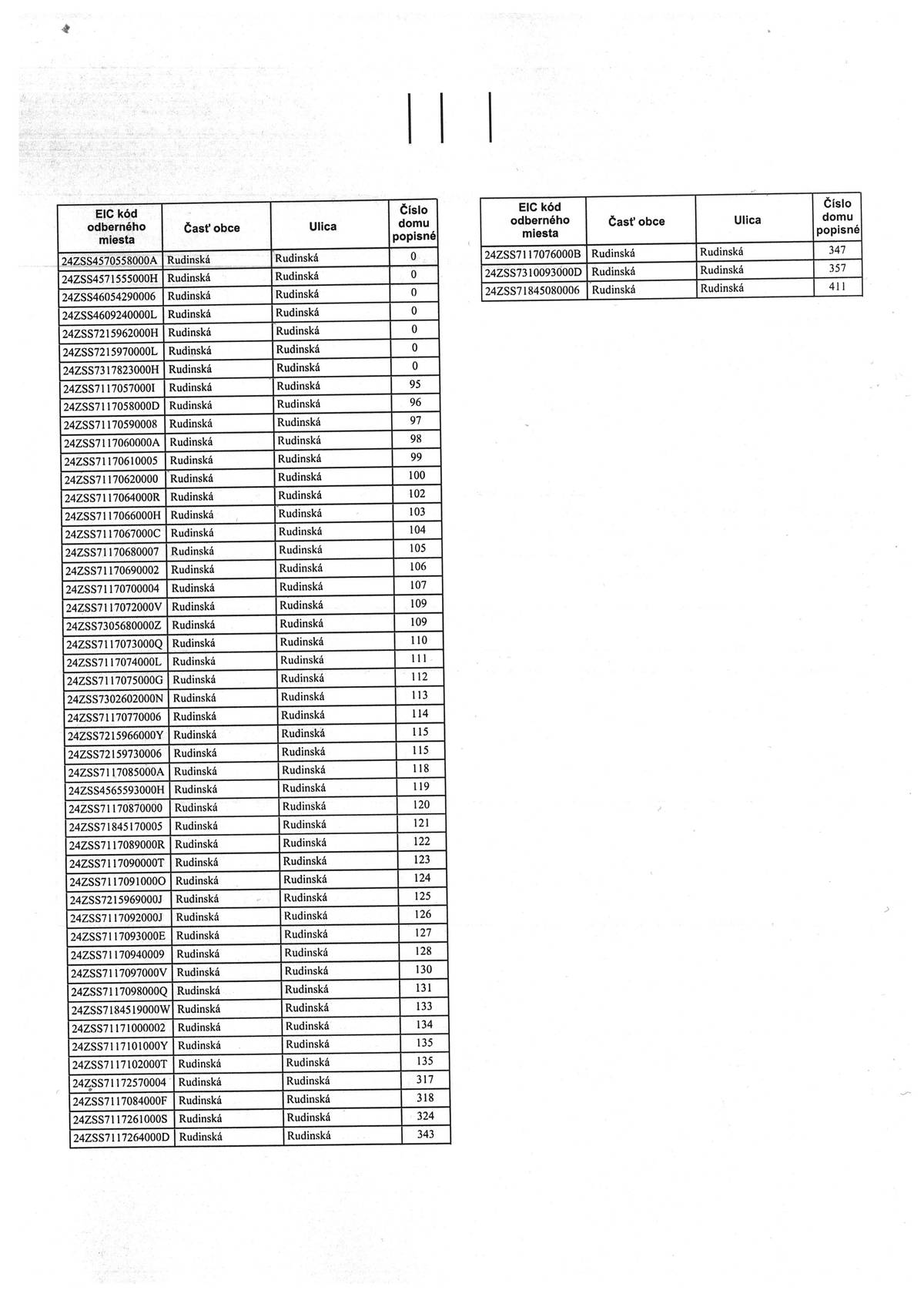
Oznamujeme spoluobčanom, že na základe vyrozumenia od spoločnosti SSD dôjde k prerušeniu dodávky elektriny v obci Rudinská z dôvodu plánovaných prác a to dňa 27.11. 2025 to je vo štvrtok od 07:00 do 16:30. Platí to pre časť obce - od súpisného čísla 95 to je dom rodiny Šaranovej po súpisné číslo 135 to je dom rodiny Ondreášovej.